The research group led by Professor Minping WAN at the Department of Mechanics and Aerospace Engineering, Southern University of Science and Technology (SUSTech), has achieved important progress in the research of energy cascade in magnetohydrodynamic (MHD) turbulence. Their findings, entitled “Exact Scaling Laws for Kinetic and Magnetic Energy Cascades in Incompressible MHD Turbulence,” have been published in Physical Review Letters, a world-renowned top academic journal in the field.

Energy cascade stands as a core issue in turbulence research. Since Kolmogorov proposed the famous “4/5 law” in 1941, exact scaling laws have been an indispensable tool for understanding energy transfer in turbulence. However, in MHD turbulence, the energy cascades of kinetic and magnetic energy have long been regarded as an integrated whole, and independent exact scaling laws for each have yet to be established to date. This has limited the in-depth understanding of energy conversion and dissipation mechanisms in plasma systems such as the solar wind, magnetospheres, and fusion devices.
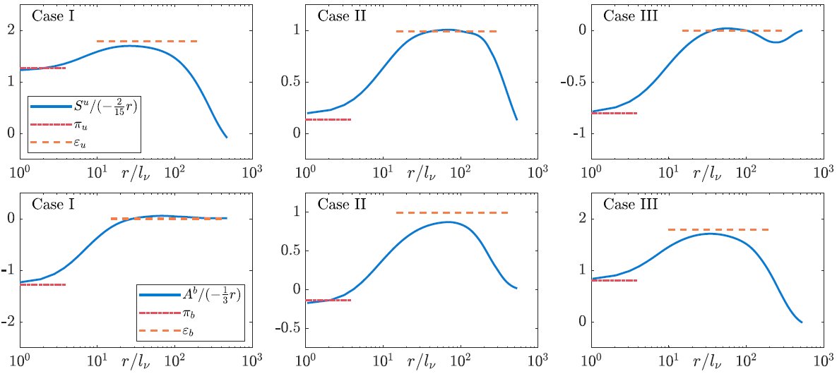
To address this challenge, the researchers derived the independent exact scaling law equations for kinetic and magnetic energy in incompressible MHD turbulence under the assumption of homogeneity and isotropy, starting from the von Kármán-Howarth equation. The study found that the third-order moment of kinetic energy can uniformly describe the energy transfer process from the viscous scale to the inertial range; the scaling law of magnetic energy involves the correlation between electric and magnetic fields, uncovering the unique mechanism of magnetic field energy transfer. The universality of the theoretical predictions under different forcing methods was verified through high-resolution direct numerical simulations.

Figure 1. Three-dimensional field of current obtained by direct simulation of magnetohydrodynamic turbulence
Further analysis showed that the von Kármán-Howarth equation for total energy contains both symmetric and antisymmetric terms, whose contributions vary with the forcing methods of the system. More importantly, the study revealed that the classic Politano-Pouquet “4/5 law” actually neglects the contribution of the antisymmetric term, resulting in significant deviations in scenarios where magnetic energy injection dominates.

Figure 2. Verification of the two scaling laws under different energy injection modes: on the left (Case I) only kinetic energy is injected, on the right (Case III) only magnetic energy is injected, and in the middle (Case II) both kinetic and magnetic energy are injected simultaneously
This study for the first time derived the independent exact scaling laws for kinetic and magnetic energy, expanding the application of Kolmogorov’s theory in MHD turbulence and providing guiding significance for the data analysis of experiments and observations. The achievement not only deepens the understanding of the energy cascade mechanism in MHD turbulence, but also offers a new theoretical tool for estimating the dissipation rate of solar wind plasma using satellite observation data. At present, the analytical framework based on this study has been applied to the data analysis of observations from NASA’s Parker Solar Probe.
Dr. Cheng LI, a postdoctoral fellow at the Department of Mechanics and Aerospace Engineering of SUSTech, is the first author of the paper, and Professor Minping WAN is the corresponding author. The collaborators include Academician Shiyi CHEN, Dr. Bin JIANG from Xiangtan University, Professor Yan YANG, and Professor William H. Matthaeus from the University of Delaware in the United States, as well as Professor Sean Oughton from the University of Waikato in New Zealand. SUSTech is listed as the first affiliated institution of the paper.
Paper Link: https://journals.aps.org/prl/abstract/10.1103/lp3d-636d
Proofread ByNoah Crockett, Junxi KE
Photo By